业务咨询:18925328663
售后咨询:400-888-1193
热门搜索:扣具厂家箱包扣具婴童用品安全扣宠物用品扣具箱包扣具
电话:0760-88894377
传真:0760-88892477
邮箱:jime0760@163.com
地址:中山市板芙镇板芙北路148号八达工业园
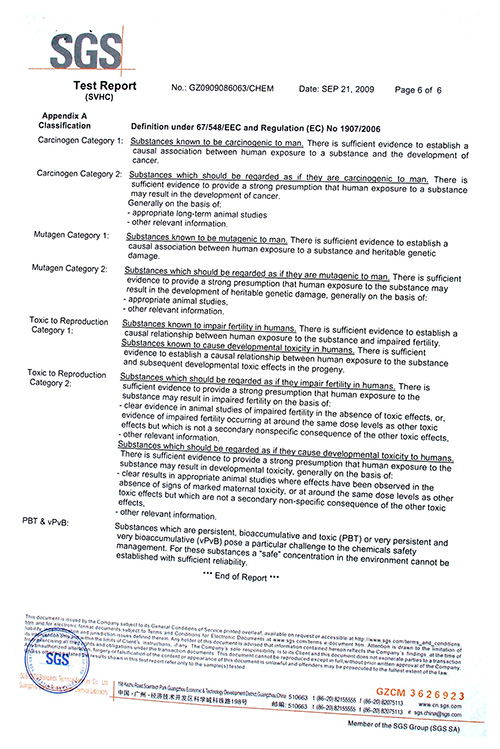
球盟会(中国)SGS环保测试REACH-POM
KJM球盟会(中国)首页童车扣具宠物扣具户外运动用品扣具产品中心实验检测关于KJM球盟会(中国)球盟会足球联系KJM球盟会(中国)网站地图